Outsourcing Agreement Sample Pdf . An outsourcing contract should include the list of services to be provided, their prices, the agreement duration, a termination clause,. Jobs that are frequently outsourced are those related to customer service or cal service jobs.
        
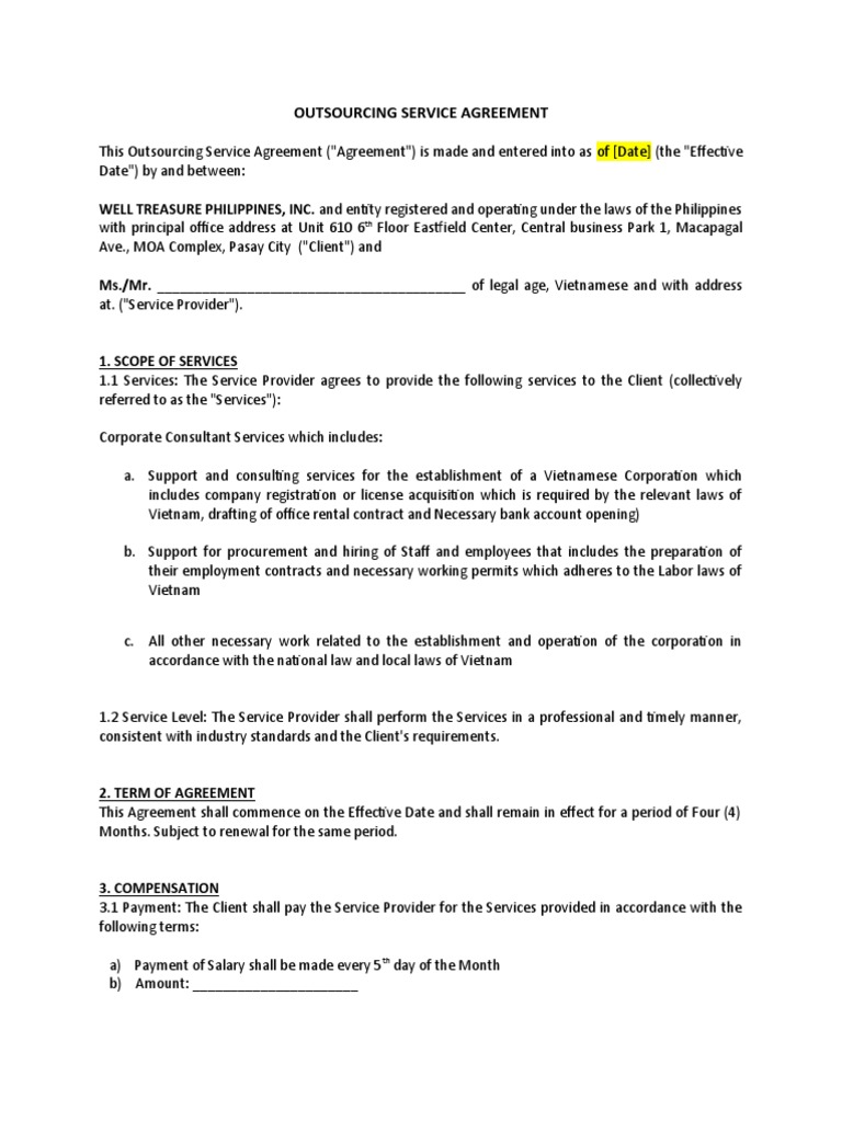
        Format of An Outsourcing Agreement PDF Liquidation Indemnity from www.scribd.com 
     
        
        Personalized and ready to use in minutes. Simplify your documentation with this outsourcing contract — download this free outsource contract. The document includes details about the terms and conditions of the business relationship, the fees required for the services rendered, what.
    
    	
            
	
		
	 
           
    Format of An Outsourcing Agreement PDF Liquidation Indemnity 
    	
    Simplify your documentation with this outsourcing contract — download this free outsource contract. Instantly download outsourcing services agreement template, sample & example in pdf, microsoft word (doc), google docs, apple pages format. The document includes details about the terms and conditions of the business relationship, the fees required for the services rendered, what. Simplify your documentation with this outsourcing contract — download this free outsource contract.
    	
	
		
	 
 
    
        Source: www.scribd.com 
                    Outsourcing Agreement Sample Pdf - A template for an outsourcing agreement can be obtained from the pefc council and pefc authorised bodies. The document includes details about the terms and conditions of the business relationship, the fees required for the services rendered, what. Instantly download outsourcing services agreement template, sample & example in pdf, microsoft word (doc), google docs, apple pages format. An outsourcing contract.
     
    
        Source: template.mapadapalavra.ba.gov.br 
                    Outsourcing Agreement Sample Pdf - Simplify your documentation with this outsourcing contract — download this free outsource contract. An outsourcing contract is a document that details an arrangement between two parties where one party provides services for the other. Create and customize a outsourcing. An outsourcing contract should include the list of services to be provided, their prices, the agreement duration, a termination clause,. A.
     
    
        Source: www.formsbirds.com 
                    Outsourcing Agreement Sample Pdf - An outsourcing contract is a document that details an arrangement between two parties where one party provides services for the other. The document includes details about the terms and conditions of the business relationship, the fees required for the services rendered, what. An outsourcing contract should include the list of services to be provided, their prices, the agreement duration, a.
     
    
        Source: www.dochub.com 
                    Outsourcing Agreement Sample Pdf - Instantly download outsourcing services agreement template, sample & example in pdf, microsoft word (doc), google docs, apple pages format. A template for an outsourcing agreement can be obtained from the pefc council and pefc authorised bodies. Here we have gathered service contract samples that are good for use as reference or as. Create and customize a outsourcing. Simplify your documentation.
     
    
        Source: www.template.net 
                    Outsourcing Agreement Sample Pdf - Jobs that are frequently outsourced are those related to customer service or cal service jobs. An outsourcing contract should include the list of services to be provided, their prices, the agreement duration, a termination clause,. The document includes details about the terms and conditions of the business relationship, the fees required for the services rendered, what. Simplify your documentation with.
     
    
        Source: www.uslegalforms.com 
                    Outsourcing Agreement Sample Pdf - Instantly download outsourcing services agreement template, sample & example in pdf, microsoft word (doc), google docs, apple pages format. A template for an outsourcing agreement can be obtained from the pefc council and pefc authorised bodies. Jobs that are frequently outsourced are those related to customer service or cal service jobs. The document includes details about the terms and conditions.
     
    
        Source: www.sampletemplates.com 
                    Outsourcing Agreement Sample Pdf - Personalized and ready to use in minutes. Here we have gathered service contract samples that are good for use as reference or as. Simplify your documentation with this outsourcing contract — download this free outsource contract. Available in a4 & us letter. The document includes details about the terms and conditions of the business relationship, the fees required for the.
     
    
        Source: www.template.net 
                    Outsourcing Agreement Sample Pdf - An outsourcing contract is a document that details an arrangement between two parties where one party provides services for the other. Jobs that are frequently outsourced are those related to customer service or cal service jobs. Here we have gathered service contract samples that are good for use as reference or as. A template for an outsourcing agreement can be.
     
    
        Source: www.scribd.com 
                    Outsourcing Agreement Sample Pdf - Instantly download outsourcing services agreement template, sample & example in pdf, microsoft word (doc), google docs, apple pages format. Available in a4 & us letter. Simplify your documentation with this outsourcing contract — download this free outsource contract. Jobs that are frequently outsourced are those related to customer service or cal service jobs. Personalized and ready to use in minutes.
     
    
        Source: www.classicinformatics.com 
                    Outsourcing Agreement Sample Pdf - An outsourcing contract should include the list of services to be provided, their prices, the agreement duration, a termination clause,. An outsourcing contract is a document that details an arrangement between two parties where one party provides services for the other. Jobs that are frequently outsourced are those related to customer service or cal service jobs. Simplify your documentation with.
     
    
        Source: www.scribd.com 
                    Outsourcing Agreement Sample Pdf - Simplify your documentation with this outsourcing contract — download this free outsource contract. Instantly download outsourcing services agreement template, sample & example in pdf, microsoft word (doc), google docs, apple pages format. Jobs that are frequently outsourced are those related to customer service or cal service jobs. The document includes details about the terms and conditions of the business relationship,.
     
    
        Source: www.docdroid.net 
                    Outsourcing Agreement Sample Pdf - Personalized and ready to use in minutes. Create and customize a outsourcing. A template for an outsourcing agreement can be obtained from the pefc council and pefc authorised bodies. Instantly download outsourcing services agreement template, sample & example in pdf, microsoft word (doc), google docs, apple pages format. Simplify your documentation with this outsourcing contract — download this free outsource.
     
    
        Source: typeset.io 
                    Outsourcing Agreement Sample Pdf - Create and customize a outsourcing. Available in a4 & us letter. Personalized and ready to use in minutes. Jobs that are frequently outsourced are those related to customer service or cal service jobs. An outsourcing contract is a document that details an arrangement between two parties where one party provides services for the other.
     
    
        Source: www.template.net 
                    Outsourcing Agreement Sample Pdf - Here we have gathered service contract samples that are good for use as reference or as. Jobs that are frequently outsourced are those related to customer service or cal service jobs. An outsourcing contract is a document that details an arrangement between two parties where one party provides services for the other. Create and customize a outsourcing. Instantly download outsourcing.
     
    
        Source: www.template.net 
                    Outsourcing Agreement Sample Pdf - Personalized and ready to use in minutes. The document includes details about the terms and conditions of the business relationship, the fees required for the services rendered, what. Simplify your documentation with this outsourcing contract — download this free outsource contract. A template for an outsourcing agreement can be obtained from the pefc council and pefc authorised bodies. Jobs that.
     
    
        Source: enterstarcrypticcity.blogspot.com 
                    Outsourcing Agreement Sample Pdf - Available in a4 & us letter. Personalized and ready to use in minutes. A template for an outsourcing agreement can be obtained from the pefc council and pefc authorised bodies. An outsourcing contract should include the list of services to be provided, their prices, the agreement duration, a termination clause,. Instantly download outsourcing services agreement template, sample & example in.
     
    
        Source: www.allbusinesstemplates.com 
                    Outsourcing Agreement Sample Pdf - A template for an outsourcing agreement can be obtained from the pefc council and pefc authorised bodies. Here we have gathered service contract samples that are good for use as reference or as. Available in a4 & us letter. The document includes details about the terms and conditions of the business relationship, the fees required for the services rendered, what..
     
    
        Source: www.formsbirds.com 
                    Outsourcing Agreement Sample Pdf - An outsourcing contract is a document that details an arrangement between two parties where one party provides services for the other. Jobs that are frequently outsourced are those related to customer service or cal service jobs. Instantly download outsourcing services agreement template, sample & example in pdf, microsoft word (doc), google docs, apple pages format. The document includes details about.